Terutama untuk para perantau sudah pasti akan tinggal di alamat yang berbeda dengan ktp. Contoh surat keterangan domisili sementara seperti yang saya tlis pada beberapa postingan sebelumnya surat keterangan domisili adalah surat yang dibuat pejabat yang berwenang di daerah tempat tinggal tersebut.
Contoh Surat2 Desa
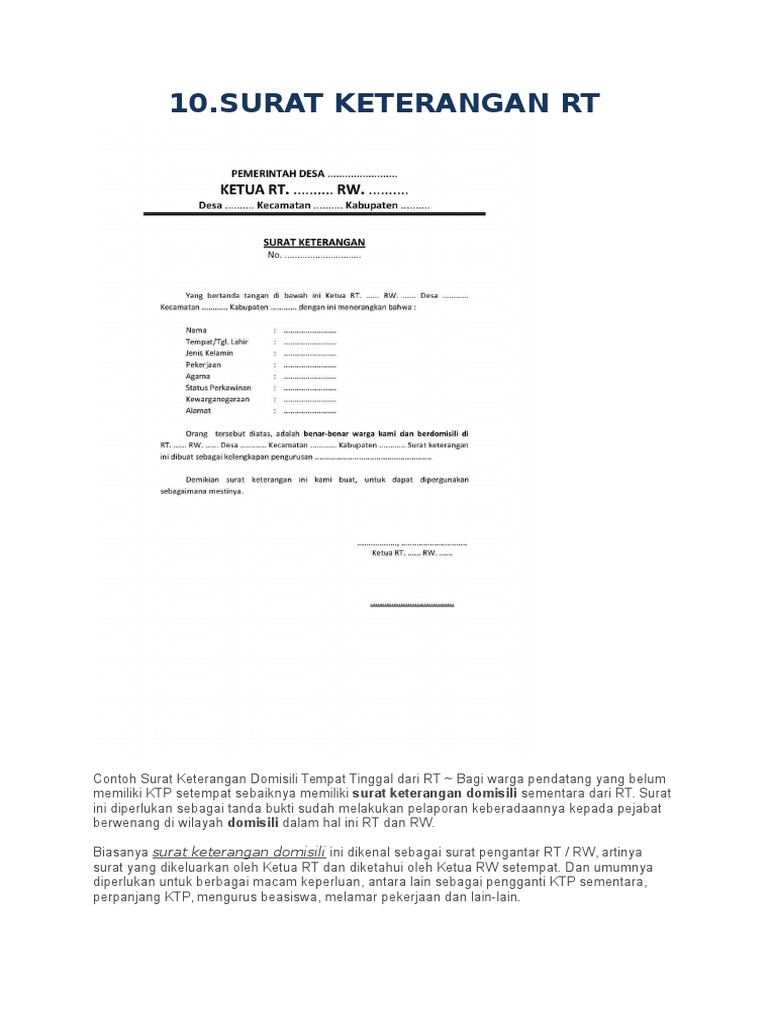
Contoh surat keterangan domisili sementara. Namun keterangan tertulis mengenai domisili bukan hanya ditujukan untuk orang saja namun juga untuk badan usaha. Atau juga bisa langsung dibuat dari kelurahan atau. 15 contoh surat keterangan domisili yang baik dan benar dalam berbagai hal dan urusan seringkali kita membutuhkan berbagai jenis surat yang resmi yang dikeluarkan oleh aparat dan pejabat tertentu. Contoh surat keterangan domisili tempat tinggal dari rt bagi warga pendatang yang belum memiliki ktp setempat sebaiknya memiliki surat keterangan domisili sementara dari rt. Sebenarnya ini merupakan sebuah fenomena yang lumrah karena hampir pasti selalu terjadi di setiap agenda demokrasi lima tahunan itu. Kalau dijakarta memang masih ada namanya surat keterangan domisili sementara.
Surat ini diperlukan sebagai tanda bukti sudah melakukan pelaporan keberadaannya kepada pejabat berwenang di wilayah domisili dalam hal ini rt dan rw. Pemerintah kota samarinda kecamatan samarinda ulu kantor sidodadi. Pada umumnya jenis surat ini dipergunakan sebagai salah satu kelengkapan administrasi pada saat pengurusan kartu keluarga kartu tanda penduduk rekening bank dan lain lain. Jika tinggal didesa biasanya surat keterangan dibuat dari rt yang diketahui ketua rw dan juga ditandatangai oleh kepala dewa. Di dalam berbagai kepentingan atau urusan seringkali kita membutuhkan yang namanya surat resmi tidak terkecuali dengan contoh surat keterangan domisili ini. Contoh surat keterangan domisili domisili atau tempat tinggal tidak selamanya sesuai dengan data yang tertera di ktp.
Nah jika sebelumnya kita sudah membahas mengenai berbagai macam surat lamaran kerja seperti surat lamaran kerja guru maka pada kesempatan kali ini kita akan bersama sama mempelajari mengenai cara membuat surat keterangan domisili. Di bandung juga ada malah ada aplikasi namanya punten kalau tidak salah. Surat ini biasanya diterbitkan oleh aparat atau pejabat tertentu namun tujuannya dipergunakan oleh seseorang untuk suatu kegiatan ataupun kepentingan pribadi. Contoh surat keterangan domisili dari rt adalah surat keterangan yang isinya menerangkan tentang tempat tinggal atau keberadaan seseorang di suatu daerah. Berikut contoh format surat domisili yang berlaku. Biasanya surat keterangan domisili ini dikenal sebagai surat.
Contoh surat keterangan domisili. Artinya ya memang saya domisili sementara di jakarta tidak menetap. Surat keterangan domisili ini biasanya dikeluarkan oleh pihak kelurahan mulai dari pejabat terendah yaitu rt hingga kepala desa. Kegunaanya adalah untuk pemerintah identifikasi berapa dan siapa warga diluar jakarta yang datang ke jakarta. Contoh surat keterangan domisili pada perhelatan pemilu bulan april 2019 lalu banyak ditemukan warga yang kehilangan hak pilihnya.

















