Agar kamu tidak bingung marilah simak pembahasan materi pertidaksamaan rasional secara rinci. Persamaan rasional adalah pecahan dengan satu atau lebih variabel pada bagian pembilang atau penyebut.

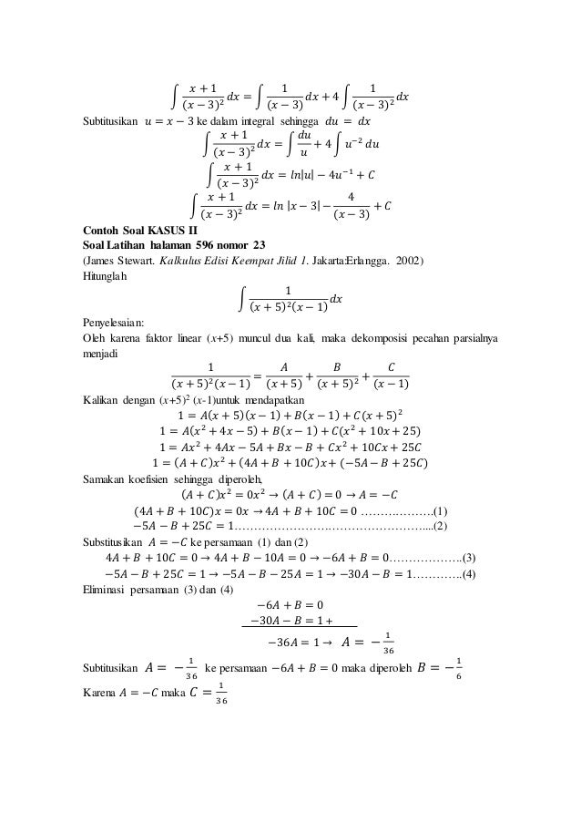
Integral Fungsi Rasional Dengan Pecahan Parsial
Contoh soal persamaan rasional. Jangan terkecoh dengan angka 2. Pada postingan ini kita membahas contoh soal persamaan dan pertidaksamaan irasional yang disertai penyelesaiannya atau pembahasannya. Tentukan nilai x yang memenuhi persamaan rasional. Anggap a0121111 kalikan a dengan 100 menghasilkan 100a 121111 persamaan pertama kalikan lagi dengan 10 menghasilkan 1000a 1211111 persamaan kedua. Artikel ini lanjutan dari postingan sebelumnya tentang persamaan dan pertidaksamaan rasional. Untuk menyelesaikan himpunan pertidaksamaan rasional dapat ditentukan dengan mengunakan langkah langkah sebagai berikut.
Ini juga bagian dari bilangan berpola. Ciri dari persamaan dan pertidaksamaan irasional adalah terdapat variabel atau peubah x yang berada dalam tanda akar. Seperti persamaan aljabar biasa persamaan rasional diselesaikan dengan melakukan operasi yang sama terhadap dua sisi persamaan hingga variabelnya dapat dipindahkan ke salah satu sisi persamaan. Tentukan daerah penyelesaian yakni untuk pertidaksamaan. Untuk menjawab soal ini kita gunakan metode pindah ruas dan kali silang. Apakah 012111111 adalah bilangan rasional.
Beserta dengan bagaimana cara menyelesaikannya jangan khawatir semua yang kamu butuhkan ada disini. Tentukan pembuat nol pada pembilang dan penyebutnya. Contoh soal dan jawaban 1. Tulis terlebih dahulu pembuat nol pada garis bilangan dan tentukan tanda untuk tiap tiap interval pada garis bilangan. Ketika memindahkan angka atau variabel dari satu ruas ke ruas lainnya kita ganda negatif menjadi positif atau sebaliknya. Persamaan rasional adalah pecahan apapun yang melibatkan setidaknya satu persamaan rasional.
Himpunan kita nyatakan kedalam bentuk umum. Contoh soal persamaan rasional.