Dari persamaan terakhir tampak bahwa kedua ruas dikalikan dari kiri oleh a 1 sehingga diperoleh bentuk penyelesaian x a 1 b. Contoh soal dan pembahasan tentang matriks contoh soal dan pembahasan tentang operasi matriks contoh soal dan pembahasan tentang transpose matriks.
Menyelesaikan Persamaan Matriks Materi Lengkap Matematika
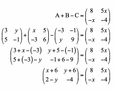
Contoh soal persamaan matriks. Selanjutnya akan diselesaikan spldv di atas menggunakan matriks. Prinsip kesamaan matriks umumnya dihubungkan dengan persamaan matematika lainnya seperti persamaan linear dua variabel persamaan kuadrat eksponensial logaritma ataupun trigonometri. Download rangkuman contoh soal matriks dalam bentuk pdf klik disini. Tentukan nilai x dan y yang memenuhi sistem persamaan linear. Persamaan matriks ini dapat kita selesaikan dengan menggunakan sifat. Video pembelajaran matriks kelas xi.
2 2p 2 2p 4 p 2 jawaban. Contoh soal matriks invers perkalian beserta pembahasannya by azzahra rahmah posted on december 29 2019 rumuscoid setelah sebelumnya kita membahas tentang contoh soal logaritma kali ini kita akan membahas materi tentang contoh soal matriks lengkap dengan pembahasannya kita akan jabarkan secara detail dan lengkap dari pengertian matriks macam macam rumus dan contoh soal beserta. Contoh soal sistem persamaan linear dua variabel yang diselesaikan menggunakan matriks dapat dilihat pada pembahasan di bawah. Bentuk matriks axb dan xab adalah salah satunya materi matriks yang terbilang mudah. Berikut rumus contoh soal dan pembahasan perkalian matriks 3x2 2x2 2x3 3x1 4x4 dst. Kali ini saya akan membahas materi matriks lainnya.
Contoh soal dan pembahasan operasi matriks yang paling sering keluar dalam ujian dan tes masuk perguruan tinggi bagi yang mengambil ipa tentu saja harus kalian pahami dengan baik dan benar sebisa mungkin semuanya di lahap sehingga sangat mudah dan cepat dalam menyelesaikan semua soal tentu saja. Jika ax b maka x a 1 b dengan a 0. Nilai p yang memenuhi persamaan matriks adalah. Untuk menyelesaikan persamaan matriks berbentuk xa b dapat ditentukan dengan cara mengalikan kedua ruas dari kanan dengan a 1 sehingga diperoleh penyelesaian x b a 1 seperti berikut. Jika xa b maka x ba 1 dengan a 0. Persamaan matriks bentuk axb dan xab.
Perkalian matriks adalah salah satu pembelajaran dalam ilmu matematika. Bentuk matriks dari persamaan spldv pada soal adalah sebagai berikut. Pemanfaatan matriks misalnya dalam menemukan solusi sistem persamaan linear. Intinya math is easy guyssjadi jangan bosan bosan belajar math math adalah pelajaran yang lebih menantang dari pelajaran lainnya. Matriks operasi matriks rumus contoh soal matriks dan jawabannya lengkap dalam matematika matriks adalah susunan bilangan simbol atau ekspresi yang disusun dalam baris dan kolom sehingga membentuk suatu bangun persegi. Prinsip kesamaan matriks pada umumnya digunakan untuk menentukan komponen pada sel tertentu atau menentukan variabel yang terdapat dalam komponen penyusun matriks.
Materi dan contoh soal.














