Posted in matematika tagged 50 contoh soal limit contoh soal limit akar contoh soal limit fungsi aljabar dan pembahasannya doc contoh soal limit fungsi pemfaktoran contoh soal limit kalkulus contoh soal limit substitusi contoh soal limit tak hingga contoh soal limit trigonometri navigasi halaman. Contoh soal limit pecahan akar.
                        Limit Fungsi Aljabar Saffanah Janan 21
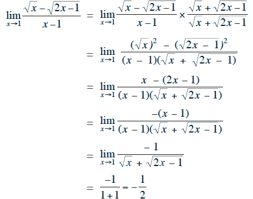
Contoh soal limit akar. Selanjutnya ialah rumus cepat untuk mengerjakan soal limit tak hingga yang berbentuk akar di mana persamaan nya ada di dalam akar dan merupakan persamaan linear. Contoh soal dan pembahasan limit perkalian sekawan posted by edutafsi on 18 april 2015 1241 am selain dengan metode substitusi metode pemfaktoran dan dalil lhospital kita juga dapat menentukan nilai limit dari suatu fungsi dengan menggunakan metode perkalian sekawan. Pembahasan limit selisih akar dengan a c sehingga hasilnya 12 contoh soal limit fungsi matematika written by unknown published at 108 pm categorized as matematika. 1 tentukan hasil dari. Contoh soal limit fungsi aljabar bentuk akar tak hingga wwwcontohsoalnet untuk lebih jelasnya ikutilah contoh soal berikut ini. Makalah materi download unduh contoh soal limit matematika beserta pembahasan dan jawabannya lengkap terbaru beserta pembahasan tentang pengertian limit assalmu alaikum wr wb.
Pembahasan limit bentuk. Itulah contoh soal dan pembahasan limit tak hingga fungsi aljabar bentuk pecahan. And have 48 komentar facebook twitter google linkedin technorati digg. Dari tabel di atas kita bisa memperkirakan nilai limit fungsi. Contoh soal limit fungsi trigonometri kelas 12teknik yang digunakan untuk mendapatkan nilai limit pada soal adalah mengalikan dengan akar sekawannya. Lim x termasuk juga limit x 0 mulai dari yang mudah dulu tipe soal soal limit yang bisa diselesaikan dengan substitusi langsung seperti contoh berikut.
Jawab dari contoh di atas dapat disimpulkan bahwa penyelesaian limit tak hingga fungsi aljabar pecahan ditentukan oleh koefisien dari variable pangkat tertinggi. Rumus cepat ke 3 mengerjakan limit tak hingga. Limit selisih akar dengan a c sehingga hasilnya 0 soal no. Limit x a. Jadi nilai limit dari contoh soal di atas ialah 21 10. Rumus limit matematika fungsi tak hingga contoh soal by azzahra rahmah posted on december 17 2019 rumuscoid setelah sebelumnya kita membahas tentang rumus persamaan nilai mutlak kali ini kita akan membahas materi tentang rumus limit matematika kita akan jabarkan secara detail dan lengkap dari pengertian limit teorema limit rumus beserta contoh soal dan pembahasannya.
Soal revisi adalah blog yang berbagi informasi contoh soal limit pecahan akar yang mana file file ini erat hubungannya dengan contoh soal limit pecahan akar berikut ini adalah kumpulan dari berbagi sumber tentang contoh soal limit pecahan akar yang bisa bapakibu gunakan dan diunduh secara gratis pada tautan link dibawah ini.















