Contoh soal hukum kepler contoh soal 1. Hukum kepler digunakan karena ia dapat memprediksi lintasan orbit dengan perhitungan yang cukup sederhana.
Contoh Soal Jawaban Diketahui Ditanyakan Penyelesaian
Contoh soal hukum kepler. Contoh soal hukum kepler. Hukum kepler merupakan hukum yang mempelajari tentang pergerakan planet di luar angkasa. Belajar fisika tentang hukum kepler 1 2 dan 3 dengan modul dan kuis interaktif. Bumi membutuhkan waktu untuk mengelilingi matahari selama 1 tahun sedangkan jarak rata rata antara bumi dengan pusat tata surya yaitu sekitar 15 x 1011 m. Untuk perhitungan yang lebih akurat hukum gravitasi newton dapat dipakai menggantikan hukum kepler. Pelajari contoh soal hukum kepler lalu kerjakan soal hukum kepler.
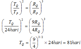
Download modul pelajaran soal dan rumus hukum kepler lengkap smp sma. Hukum kepler 1 2 3. Contoh soal hukum kepler 1 2 3. Berapa konstanta perbandingan kuadrat periode terhadap pangkat tiga jarak rata rata bumi ke matahari. Jarak rata rata planet bumi ke matahari adalah 1496 x 10 6 km dan periode revolusi bumi adalah 1 tahun. Jika setelah diketahui bahwa periode orbit dari planet venus ialah 0615 tahun.
Sejarah bunyi fungsi rumus dan contoh soal lengkap hukum kepler ditemukan oleh seorang matematikawan yang juga merupakan seorang astronom jerman yang bernama johannes kepler1571 1630. Pengertian hukum 1 2 3 rumus contoh soal. Penemuannya didasari oleh data yang diamati oleh tycho brahe1546 1601 seorang astronom terkenal dari denmark.
















