Di dalam percobaannya charles meneliti tentang adanya hubungan antara gaya listrik dengan dua buat muatan dan jarak antar kedua muatan tersebut menggunakan neraca puntir. Artikel ini bertujuan agar anda dapat menyelesaikan kasus gas ideal pada suatu sistem terisolasi dan tekanan gas dijaga agar tetap konstan.
Contoh Soal Hukum Boyle Gay Lussac Dan Pembahasannya
Contoh soal hukum charles. Jika suhu gas dinaikkan maka gerak partikel partikel gas akan semakin cepat sehingga volumenya bertambah. Bunyi hukum charles rumus contoh soal dan penjelasan lengkap pada kesempatan kali ini kita akan belajar materi tentang hukum charles bunyi hukum rumus dan contoh soalnya. Telah diketahui bahwa selain ditentukan oleh tekanan volume gas dalam ruang tertutup juga dipengaruhi oleh suhu. Hukum coulomb ditemukan oleh charles agustin de coulomb seorang fisikawan berkebangsaan perancis pada tahun 1785. Suatu gas dengan volume 10 liter tekanan 11 atam dan temperatur 30 celcius diubah menjadi 12 liter dan tekanan 08 atm maka hitung temperatur gas yang dicapai. Hukum charles menyatakan bahwa pada tekanan tetap.
Robert boyle 16271691 melakukan eksperimen untuk menyelidiki hubungan kuantitatif antara tekanan dan volume gas. Hukum boyle hukum charles dan hukum gaylussac. Bunyi hukum coulomb rumus contoh soal dan penyelesaiannya. Percobaan ini dilakukan dengan memasukkan sejumlah gas tertentu ke dalam sebuah wadah tertutup. Apabila tekanan tidak terlalu tinggi dan dijaga konstan volume gas akan bertambah terhadap kenaikan suhu. Ini merupakan salah satu keunggulan hukum hukum gas.
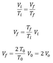
Dalam suatu wadah tertutup gas memuai sehingga volumenya berubah menjadi 3 kali volume awal v volume awal t suhu awal. Contoh soal hukum charles isobariktekanan konstan 1.
















