Tentukan nilai x agar fungsi fx x 2 8x 9 naik. Sekarang mari kita lebih perjelas lagi dengan mengerjakan contoh soal fungsi berikut ini.
Contoh Soal Dan Pembahasan Fungsi Naik Dan Fungsi Turun
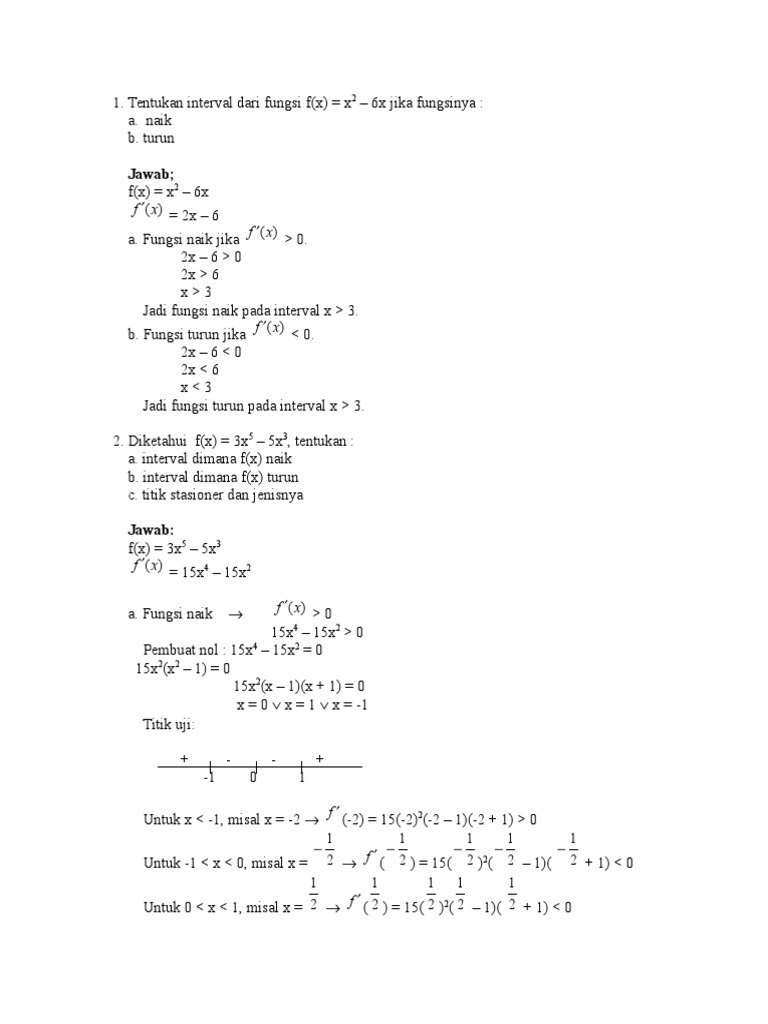
Contoh soal fungsi naik dan fungsi turun beserta jawabannya. Untuk penyelesaian soal ini kita akan cari fx lalu kita uji bagaimana nilainya. Untuk fungsi dari beberapa variabel nyata yang dapat diturunkan titik. Deret dan notasi sigma beserta pembahasannya. Selain dengan melihat secara visual pada grafik interval naik atau turunnya suatu fungsi dapat ditentukan dari turunan pertama fungsi tersebut. Turunan ini sudah dibahas di postingan sebelumnya. Pembahasan mathematics4us kali ini membahas mengenai kelanjutan materi turunan yaitu fungsi naik dan fungsi turun serta nilai stasioner.
Fungsi fx dikatakan tidak turun jika fx 0. Contoh soal 1. Rangkuman materi bab turunan kelas xi11 disertai contoh soal dan jawaban dengan pembahasan lengkapnya ayo masuk kesini. Soal 1grafik y x 3 2x 2 1 pada daerah asal 0x2 mempunyai ciri aselalu naik b selalu turun c naik lalu turun d turun kemudian naik eturun naik turun. A b c pembahasan. Agar turun maka fx 0 4x 12 0 4x 12 x 3.
Fungsi dikatakan naik jika f x 0 fungsi dikatakan turun jika f x 0. Rangkuman contoh soal dimensi tiga jawaban pembahasannya. Contoh soal 3. Tinggalkan balasan batalkan balasan. Rr yang ditentukan oleh rumus fx ax2 bx c dengan abc r dan a 0 disebut fungsi kuadrat. Jika f x 0 untuk semua x yang berada pada interval i maka f naik pada i.
Tentukan interval fungsi naik dari fx x 2 4x 8. Bank soal kelas 8 smp k2013 tentang sistem koordinat soal pilihan ganda soal 1 perhatikan gambar di bawah inianalisis kesalahan dalam penyelesaian soal matematika berbasis timss materi dan lks matematika kelas 8 sistem koordinat mgmp matematika. Agar naik maka fx 0 2x 8 0 x 4. Tentukan nilai x agar fungsi fx 2x 2 12x 5 turun. Fungsi naik dan fungsi turun. Untuk mengetahui maksud dari fungsi naik dan fungsi turun perhatikan gambar berikut.
5 tentukan turunan dari fungsi fungsi berikut nyatakan hasil akhir dalam bentuk akar. Untuk lebih jelasnya pelajari contoh soal fungsi naik fungsi turun dan penyelesaiannya dibawah ini. Inilah rekomendasi tentang contoh soal sistem koordinat kelas 8 beserta jawabannyapak torik memiliki dua jenis hewan ternak yaitu bebek dan kambing. A b c. Contoh soal fungsi dan pembahasannya. 4 tentukan turunan dari fungsi fungsi berikut.
Jadi agar kita bisa menyelesaikan soal fungsi naik atau fungsi turun maka kita harus menguasai turunan. Contoh kalimat homofonhomograf dan homonim. Dengan kata lain titik stasioner adalah titik di mana fungsi berhenti naik atau turun. Selain itu pemanfaatan fungsi turunan dalam kehidupan sehari hari. Jika f x 0 untuk semua x yang berada pada interval i maka f turun pada i. Ketikkan komentar di sini.
Contoh soal 2. Dalam matematika terutama di bidang analisis titik stasioner atau kritis dari suatu fungsi yang dapat diturunkan adalah titik di grafik di mana kurva pertama turun menjadi nol. Contoh soal fungsi 1. Materi di atas sudah cukup jelas bukan. A b c soal no.














