Contoh soal dan pembahasan tentang invers fungsi komposisi. A f o gx b g o fx.
Intip Solusi Super Menyelesaikan Soal Fungsi Komposisi Buat
Contoh soal fungsi komposisi. Agar anda bisa lebih memahami tentang konsep fungsi komposisi anda bisa pelajari beberapa latihan soal fungsi komposisi beserta jawaban dan pembahasannya berikut. Contoh soal fungsi invers. Jika diketahui suatu fungsi f x 5x 20 hitunglah fungsi invers f 1 x. Jika fungsi f x dinyatakan dalam bentuk y sama dengan fungsi x f x y maka. Contoh soal dan pembahasan tentang fungsi invers. Contoh soal fungsi komposisi jawaban dan pembahasannya kelas 10.
Perhatikan contoh contoh berikut ini. Kumpulan contoh soal fungsi yang diberikan di sini sesuai untuk level kognitif aplikasimeliputi contoh soal fungsi contoh soal komposisi fungsi contoh soal fungsi invers dan contoh soal grafik fungsi yang dapat digunakan untuk. Untuk memahami uraian di atas berikut akan kami berikan contoh soal untuk fungsi komposisi yang sederhana perhatikan baik baik ya. Langsung saja simak pembahasannya. Contoh soal fungsi komposisi dan jawabannya. Soal nomor 1 diberikan dua buah fungsi masing masing fx dan gx berturut turut adalah.
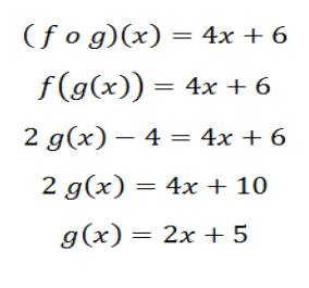
Contoh soal dan pembahasan tentang fungsi komposisi. Fungsi komposisi materi definisi tentang pengertian rumus sifat contoh soal fungsi invers dan contoh fungsi invers dalam kehidupan yaitu. Contoh soal fungsi komposisi dan invers dan jawaban pembahasan oleh anas ilham diposting pada mei 19 2020 mei 20 2020 contoh soal fungsi komposisi dan invers pilihan ganda pembahasan berikut ini bank contoh soal fungsi komposisi dan invers lengkap dengan jawaban beserta penyelesaiannya untuk siswa dari berbagai penerbit buku yang berjumlah 20 butir. Jika hx fogx maka nilai h2 adalah. Soal no1 utbk 2019 diketahui grafik fungsi f dan g dengan beberapa nilai fungsi f dan g sebagai berikut. Fx 3x 2 gx 2 x.
Contoh soal komposisi fungsi halaman ini memuat kisi kisi un sma ipa terbaru untuk materi fungsi komposisi fungsi fungsi invers dan grafik fungsi. Jika fx 3x 2 dan gx 4x 2.
















