Agar kalian dapat memahami lebih jelas mengenai fungsi invers coba kita kerjakan contoh soal berikut ini. Sebenarnya terdapat cara alternatif yang bisa dikatakan lebih mudah berikut ini adalah contoh pengerjaan invers memakai cara alternatif dari fungsi fx2x 1.
Contoh Soal Dan Pembahasan Tentang Fungsi Komposisi Dan
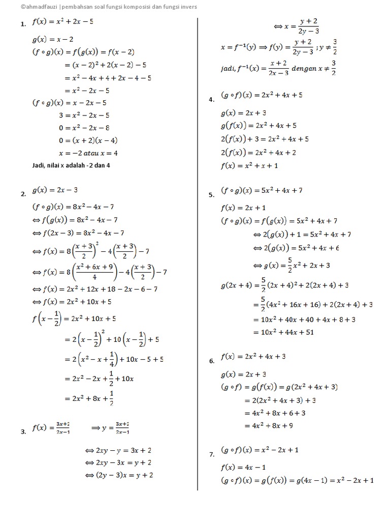
Contoh soal fungsi komposisi dan fungsi invers beserta penyelesaiannya. Operasi x untuk fungsi fx2x 1 yaitu. Fungsi komposisi dan fungsi invers aljabar contoh soal sifat pengertian relasi injektif surjektif pembahasan penyelesaian cara menentukan menghitung matematika anda telah mempelajari pengertian fungsi di smp. Jika a dan b berkorespondensi satu satu maka suatu fungsi f. Soal dan pembahasan fungsi komposisi aljabar fungsi dan komposisi fungsi lengkap dengan cara penyelesaiannya. Kumpulan soal fungsi komposisi dan invers beberapa model soal yang umum tentang fungsi komposisi dan invers anatara lain. A b mempunyai fungsi invers f 1.
F 1 dan g 1 berturut turut menyataan invers dari fungsi f dan g. Contoh soal dan pembahasan tentang fungsi invers. Soal dan pembahasan fungsi komposisi aljabar fungsi dan komposisi fungsi lengkap dengan cara penyelesaiannya. Rangkuman materi bab fungsi dan komposisi disertai contoh soal dan jawaban dengan pembahasan lengkapnya ayo masuk kesini. Dengan kata lain daerah asal dari fx merupakan daerah asal bagi f 1 x dan daerah asal dari fx merupakan daerah hasil bagi f 1 x. Berikut ini saya lampirkan beberapa soal dan jawaban tentang fungsi komposisi dan invers ini.
Soal nomor 29 penghasilan per bulan seorang karyawan terdiri atas gaji pokok dan bonus penjualan. Berikut ini disajikan soal soal beserta pembahasan fungsi invers baca juga tips mengurangi berat badan secara alami penyelesaiannya. Contoh soal dan pembahasan tentang fungsi komposisi. Fungsi komposisi dan fungsi invers. Diatas menunjukan bahwa contoh menentukan invers pada suatu fungsi yaitu fungsi fx2x 1 sehingga didapatkan invers dari fungsi tersebut yaitu f 1xx12. Kali ini kita akan bahas bersama sama soal materi komposisi lengkap dengan cara penyelesaiannya dan contoh latihan soal.
Silahkan dipelajari yaak soal no. Tentukan rumus fungsi invers dari fungsi fx 2x 6. Contoh soal dan pembahasan tentang invers fungsi komposisi. Contoh soal dan pembahasan. Contoh soal fungsi komposisi dan invers pilihan ganda pembahasan berikut ini bank contoh soal fungsi komposisi dan invers lengkap dengan jawaban beserta penyelesaiannya untuk siswa dari berbagai penerbit buku yang berjumlah 20 butir. Gaji pokok karyawan tersebut adalah rp450000000.
Pembahasan tentang fungsi komposisi aljabar fungsi dan komposisi fungsi matematika disertai rumus soal sudah kita bahas pada postingan sebelumnya. Deret dan notasi sigma beserta pembahasannya. Contoh soal dan pembahasan fungsi komposisi dan invers.
















