Contoh lingkungan alam yang ada di muka bumi antara lain pegunungan sungai danau. 2 x 45 menit.

Rpp Tematik Kelas 3 Semester 2 Guru Ilmu Sosial
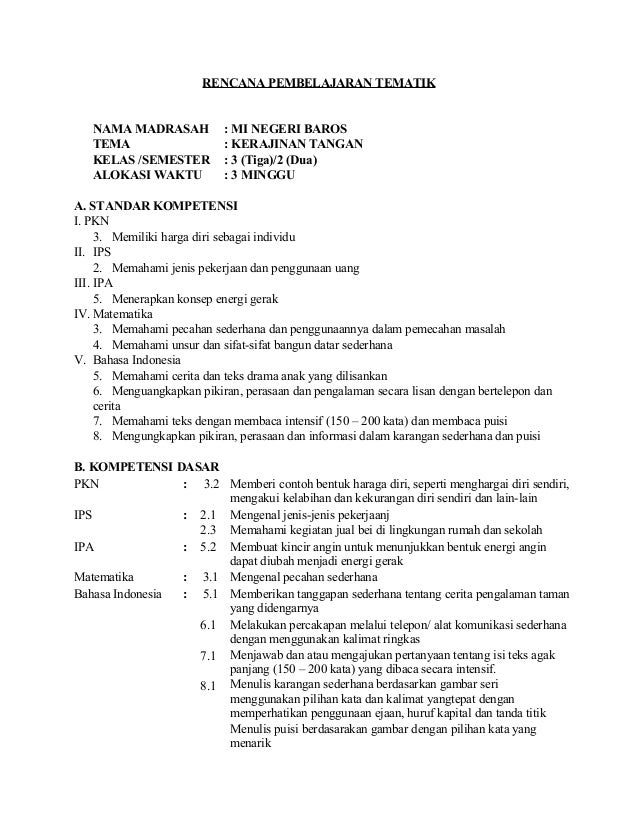
Contoh rpp tematik kelas 3. Download rpp dan silabus ktsp terbaru kelas 1 6 sd. Contoh rpp kurikulum 2013 kelas 123456 sd pengertian dan komponen rpp kurikulum 2013. Contoh rpp tematik sd kelas 3. Download rpp tematik berkarakter kelas 3 sekolahdasarnet. Bapak ibu guru sd dan para pembaca sekalian berikut ini rpp kurikulum 2013 kelas 3 sd dengan tema mengenal cuaca dan musim pengalaman yang mengesankan ringan sama dijinjing berat sama dipikul sayangi hewan dan tumbuhan berperilaku baik dalam kehidupan mari bermain dan berolah raga indahnya persahabatan dari semester 1 sampai 2 file rpp kurikulum 2013 kelas 2 sd ini kami dapat dari. 0942 by unknown label.
Rpp kurikulum 2013 kelas 3 revisi terbaru sudah terintegrasi dengan literasi era modern yang terdapat beberapa ketentuan diantaranya prinsip tujuan belajar dan metode. Menurut kemdikbud rpp adalah rencana pembelajaran yang dikembangkan secara rinci dari suatu materi pokok atau tema tertentu yang mengacu pada silabus. File guru co id. Keperluan sehari hari. Oleh admin diposting pada 28 desember 2015. Rpp tematik kelas 3 tema 7.
Rpp tematik kelas 3 sd tema kesehatan. 3 tiga2 dua alokasi waktu. Kementerian pendidikan dan kebudayaan telah mengembangkan pendidikan karakter secara terintegrasi dalam pembelajaran pada semua mata pelajaran di semua jenjang dan jenis pendidikan termasuk sdpendidikan karakter secara terintegrasi dalam pembelajaran merupakan hal yang baru bagi sebagain besar guru sd di indonesia. Maret 27 2013 no comments rencana pelaksanan pembelajaran. Berikut ini adalah contoh. Rpp tematik kelas 3 perkembangan teknologi.
Contoh rpp k13 sd kelas 3 yang sudah kami sediakan kebetulan bukan hanya terintegrasi dengan metode mengajar abad 21 melainkan dilengkapi dengan pendidikan penguatan karakter dalam menghadapi kehidupan yang semakin banyak. Perangkat pembelajaran tematik sd kelas 3 versi 2019 lengkap akhir kata kami sampai terima kasih sebesar besarnya semoga rpp kelas 3 sdmi kurikulum 2013 revisi 2019 lengkap ini dapat bermanfat untuk bapakibu guru dalam melaksanakan proses kbm. Disusun untuk memenuhi tugas mata kuliah ketrampilan berbahasa indonesia di kelas rendah. Berikut ini adalah file tentang rpp tematik kelas 3 tema 7 yang bisa bapakibu unduh secara gratis dengan menekan tombol download pada tautan link di bawah ini. Yang bisa digunakan untuk melengkapi administarsi guru yang dapat di unduh secara gratis dengan menekan tombol download. Rpp k13 kelas 3 revisi 2020 semester 1 dan 2 adalah perangkat pembelajaran yang disusun sesuai dengan silabus.
Berbeda dengan rpp sebelumnya rpp satu lembar hanya terdiri 3 tiga komponen yang diantaranya tujuan pembelajaran kegiatan pembelajaran dan penilaian assesmen.