Arus bolak balik. 1 diberikan sebuah gambar rangkaian listrik arus bolak balik yang terdiri sebuah resistor r sebuah induktor l sebuah kapasitor c dan sebuah sumber listrik arus bolak balik.
Arus Bolak Balik Pengertian Rangkaian Jenis Amp Contoh Soal
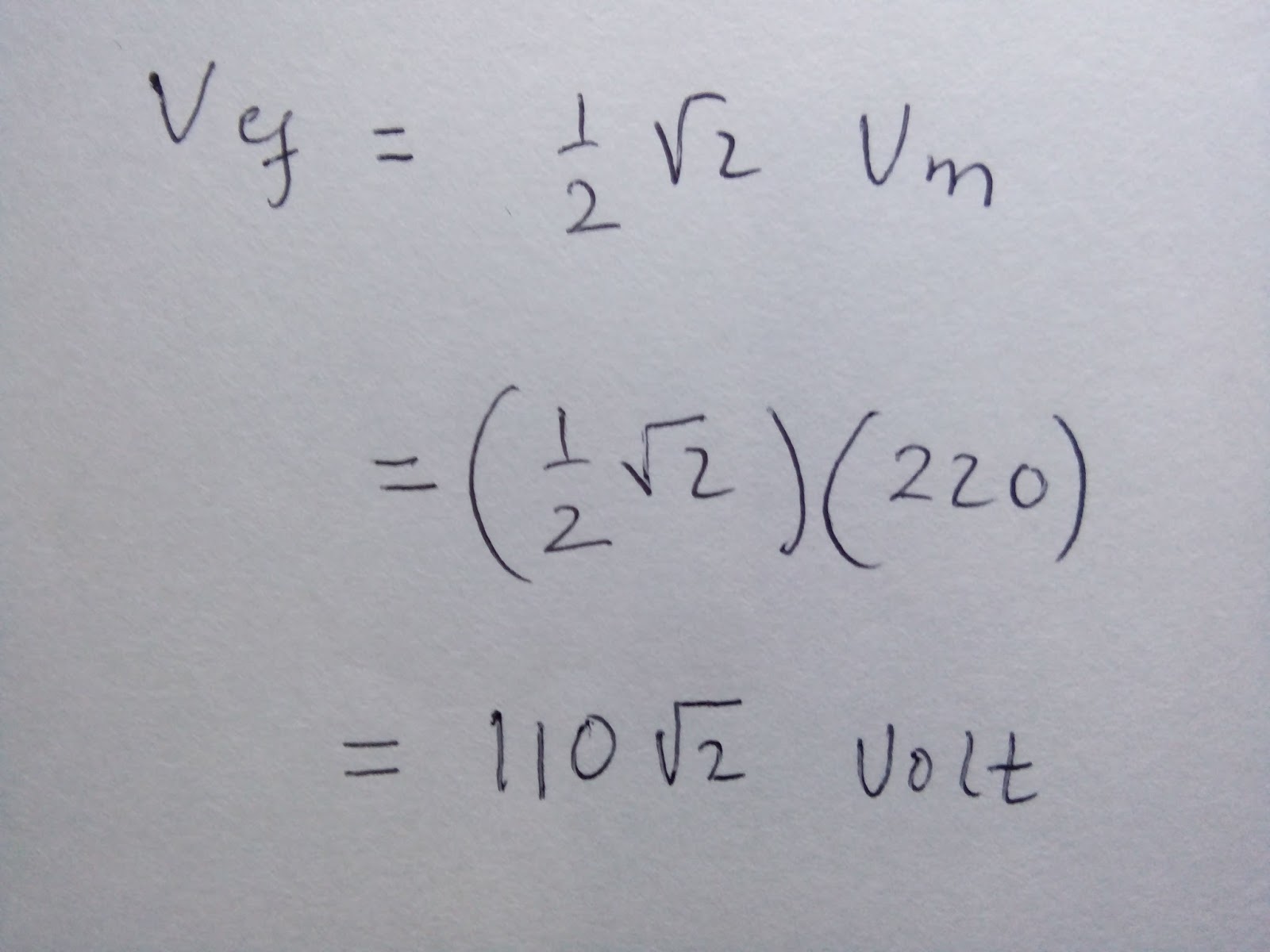
Kumpulan contoh soal arus bolak balik. 60 hz adalah suatu alat memerlukan tegangan efektif 220 v frekuensi 60 hz dan menyerap daya 60 w saat digunakan. 1 diberikan sebuah gambar rangkaian listrik arus bolak balik yang terdiri sebuah resistor r sebuah induktor l sebuah kapasitor c dan sebuah sumber listrik arus bolak balik. Pengertian keuntungan dan contoh soalnya lengkap tahukah anda apa yang dimaksud dengan arus bolak balik. Kumpulan soal dan pembahasan fisika listrik arus bolak balik arus dan tegangan bolak balik 02. Inilah contoh soal un arus bolak balik. Selain itu berbeda dengan arus searah di mana arah arus yang mengalir tidak berubah ubah dengan waktu.
Arus bolak balik dalam dunia kelistrikan banyak digunakan. Contoh soal arus bolak balik beserta jawaban dan pembahasan arus bolak balik merupakan arus listrik di mana besarnya dan arahnya arus berubah ubah secara bolak balik. Arti dari 220 v ac 60 w. Sebuah dinamo menghasilkan tegangan efektif 220 v pada frekuensi 60 hz. Pengertian rangkaian jenis macam rumus contoh soal dan pembahasan adalah arus yang arah dan besarnya setiap saat berubah rubah. Contoh soal arus bolak balik pada rangkaian rlc seri dan pembahasannya soal soal rangkaian arus ac atau kebanyakan pelajar sering menyebutnya rangkaian rlc bentuk dan jenis soalnya bisa sangat beragam.
Kumpulan soal dan pembahasan fisika listrik arus bolak balik arus dan tegangan bolak balik 01. Berikut ini adalah contoh soal ukk smp kelas 7 8 yang merupakan kumpulan file dari berbagi sumber administrasicontoh soalpendidikan dan guru tentang contoh soal un arus bolak balik yang bisa bapakibu gunakan dan diunduh secara gratis dengan menekan tombol download biru dibawah ini. Hukum hukum berikut ini berhubungan dengan kelistrikan dan kemagnetan. Pada setiap peralatan elektronik dengan arus bolak balik akan tertera tegangan listrik yang dibutuhkan daya yang digunakan dan frekuensi arus bolak balik agar alat tersebut dapat bekerja dengan baik. Berikut ini ditampilkan beberapa soal dan pembahasan materi fisika listrik arus bolak balik ac yang dibahas di kelas 12 sma.














