Demikian surat lamaran ini saya ajukan untuk dapat diproses sesuai dengan aturan yang berlaku. Dengan ini menyampaikan surat lamaran agar dapat mengikuti seleksi penerimanaan calon pegawai negeri sipil di lingkungan kementerian riset teknologi.
Contoh Surat Lamaran Cpns 2019 Engga Usah Bingung Lagi
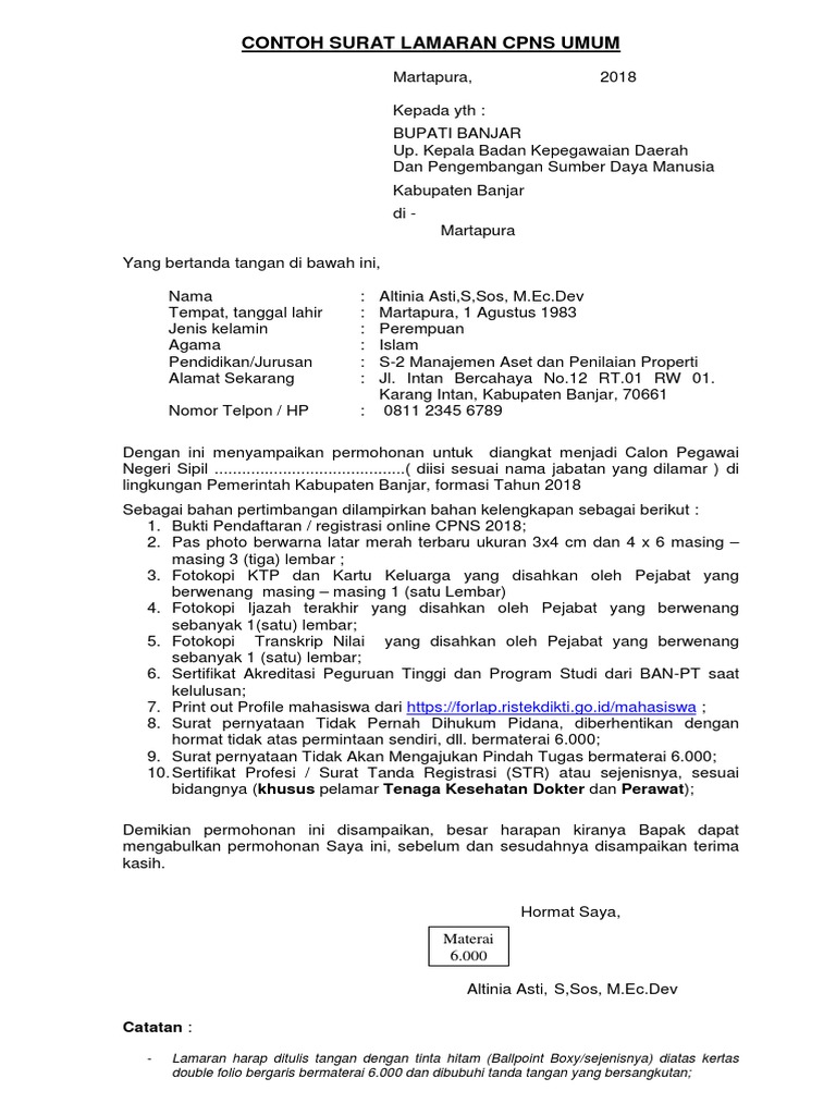
Contoh surat lamaran cpns ristekdikti. Apakah sama dengan contoh surat lamaran kerja yang lainnya seperti ketika kamu melamar disebuah perusahaan perbankan perusahaan bumn atau perusahaan swasta. Silahkan dibaca melalui link ini karena terdapat juga informasi penting lainnya. Syarat cpns dosen ristekdikti. Surat pengadaan telah diterbitkan oleh lembaga tersebut juga meminta lembaga pemerintah pusat dan daerah mengusulkan kebutuhan formasi. 2 pas photo dengan latar belakang warna merah. Berkas lamaran yang diunggah di sscn yaitu.
Contoh format lamaran cpns formasi umum tahun 2017. Semoga bermanfaat bagi anda yang membutuhkan dan semoga sukses pada pendaftaran cpns kemenristekdikti tahun ini. Kita akan melihat contoh surat lamaran kerja cpns atau ketika kamu melamar pekerjaan di instansi pemerintah seperti lembaga instansi kementerian sebagai status pns pegawai negeri sipil. Daftar online cpns pendaftaran cpns kementerian hukum dan ham terbaru format terbaru contoh surat lamaran slta d3 d3 papua s1 s1 papua di cpns kementerian hukum dan ham tahun 2017 pendaftaran calon pns tahun 2017 sudah dibuka pada hari selasa lalu yaitu instansi kementerian hukum dan ham yang mana membuka penerimaan sebanyak 17962 formasi. Sebelumnya memang sudah saya bagikan untuk contoh surat pernyataan cpns guru. 1 surat lamaran yang ditulis tangan dengan tinta hitam dan ditandatangani di atas materai rp 6000 yang ditujukan kepada menteri riset teknologi dan pendidikan tinggi.
Cpnsristekdiktigoid cara pendaftaran online cpnsristekdiktigoid rekrutmen besar besaran kementerian riset teknologi dan pendidikan tinggi pada hari yang sudah ditetapkan pemerintah secara resmi mengeluarkan pengumuman mengenai rekruitmen cpns besar besaran 58 instasi pemerintahanhal ini tentu saja merupakan kabar baik bagi para pencari pekerja dikarenakan selama bertahun tahun. Membuat surat lamaran cpns bagi yang belum pernah memang sedikit susah. Ayo di download contoh surat lamaran pernyataan cpns 2018juga contoh dokumen persyaratan dan pengumuman alokasi formasi cpns 2018. Kementerian pendayagunaan aparatur negara dan reformasi birokrasi menpanrb pastikan informasi akan adanya rekrtumen cpns dan pppk tahun 2019. Seperti apa contoh surat lamaran kerja cpns. Pengiriman berkas lamaran 1.
Tanggal disamakan dengan tanggal melamar di portal cpns online ristekdikti. Contoh surat lamaran kerja cpns terbaru 2015 buat anda yang ingin melamar kerja di cpns maka membuat surat lamaran tidak boleh asal buat saja dan ada setruktur yang harus anda ketahui juga maka dengan ini kami blog contoh surat dan proposal memberikan info ini buat anda semua supaya anda bisa di terima lamaran kerja cpns anda nantinya. Demikianlah informasi mengenai contoh format surat lamaran cpns kemenristekdikti 20182019. Pengiriman berkas lamaran diatur sebagai berikut. Nah bagi anda yang sedang membutuhkan referensi tentang bagaiman cara membuat surat lamaran cpns berikut ini kami sediakan contoh surat lamaran cpns untuk lulusan sma di salah satu kementerian yang kebetulan di tahun 2019 ini sedang membuka pendaftaran cpns.














