Soal aljabar ini terdiri dari 25 butir soal pilihan ganda. Operasi hitung aljabar lengkap.
Distributif Wikipedia Bahasa Indonesia Ensiklopedia Bebas
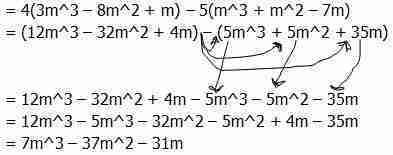
Contoh soal perkalian bentuk aljabar dan jawabannya. Perkalian suku satu dengan suku dua agar kamu memahami perkalian suku satu dengan suku dua bentuk aljabar pelajari contoh soal berikut. Pembagian pecahan bentuk aljabar. Gunakan hukum distributif untuk menyelesaikan perkalian berikut. Penjumlahan dan pengurangan pecahan bentuk aljabar. Contoh soal dan beserta jawabannya. Pada aljabar kelas 8 ini materi yang dipelajari di sekolah diantaranya adalah operasi bentuk aljabar.
Operasi operasi dalam bentuk aljabar yang akan dipelajari diantaranya penjumlahan dan pengurangan aljabar perkalian bentuk aljabar pembagian bentuk aljabar dan perpangkatan bentuk aljabar. Untuk lebih jelasnya perhatikan penjelasan di bawah ini. Contoh soal aljabar dan penyelesaiannya beserta jawabannya by azzahra rahmah posted on january 6 2020 rumuscoid pada kesempatan kali ini kita akan membahas mengenai contoh soal tentang aljabar dan pada kesempatan sebelumnya kita juga telah membahas tentang contoh soal mengenai vektor nah untuk saat ini materi lengkap tentang contoh soal mengenai aljabar. Juga diperlukan kemampuan untuk menguasai cara operasi bentuk aljabar dan cara dasar dalam mengoperasikan bilangan dan variabel. Contoh soal matematika yakni sebuah kumpulan soal soal yang gunanya agar melatih anak anak itu sesuai dengan usia mereka. 9a 2b terdiri dari dua suku yaitu 9a dan 2b.
Suku yaitu bagian dari bentuk aljabar yang dipisah dengan tanda atau contohnya. Semoga bisa dijadikan referensi untuk belajar. Halo adik adik berikut ini kakak admin bagikan contoh soal aljabar soal matematika kelas 7 smp mts lengkap dengan kunci jawaban dan pembahasan. Penjumlahan pengurangan perkalian pembagian dan perpangkatan. 3n 2 2n n terdiri dari tiga suku yaitu 3n 2 2n dan n. Soal aljabar kelas 7.
Untuk menyelesaikan pecahan bentuk aljabar prinsipnya sama dengan menyelesaikan penjumlahan pecahan biasa yaitu dengan cara menyamakan penyebutnya terlebih dahulu baru di jumlahkan atau dikurangkan. Kakak akan mengajak teman teman untuk membahas operasi hitung bentuk aljabar secara bertahap agar mudah. Demikianlah pembahasan mengenai contoh soal nilai mutlak dan sifat sifat pertidaksamaan nilai mutlak semoga diberi faham dan bermanfaat. Dan berikut ini adalah beberapa contoh soal perkalian untuk anak kelas 3 sd dan bisa untuk membuat anak anak itu lebih memahami soal soal yang akan dipelajari disekolah mereka. Kamu dapat memahami contoh contoh di atas apabila telah mengenal definisi dari suku faktor koefisien konstanta variabel suku sejenis dan tidak sejenis. Contoh soal dan pembahasan tentang bentuk akar contoh soal dan pembahasan tentang merasionalkan bentuk akar contoh soal dan pembahasan tentang penjumlahan bentuk akar.
Pembahasan mengenai contoh soal nilai mutlak beserta jawabannya.
















