Sebelum team asesor akreditasi datang ke sekolah atau madrasah tentu penyelenggara sekolahmadrasah harus membuat persiapan diantaranya adalah. Dalam blog ini kami bahas bukti fisik akreditasi sekolah sdmi lengkap 119 instrumen akreditasi dari 8 standar.
                        List Bukti Fisik Akreditasi 2018 Sma Ma Home
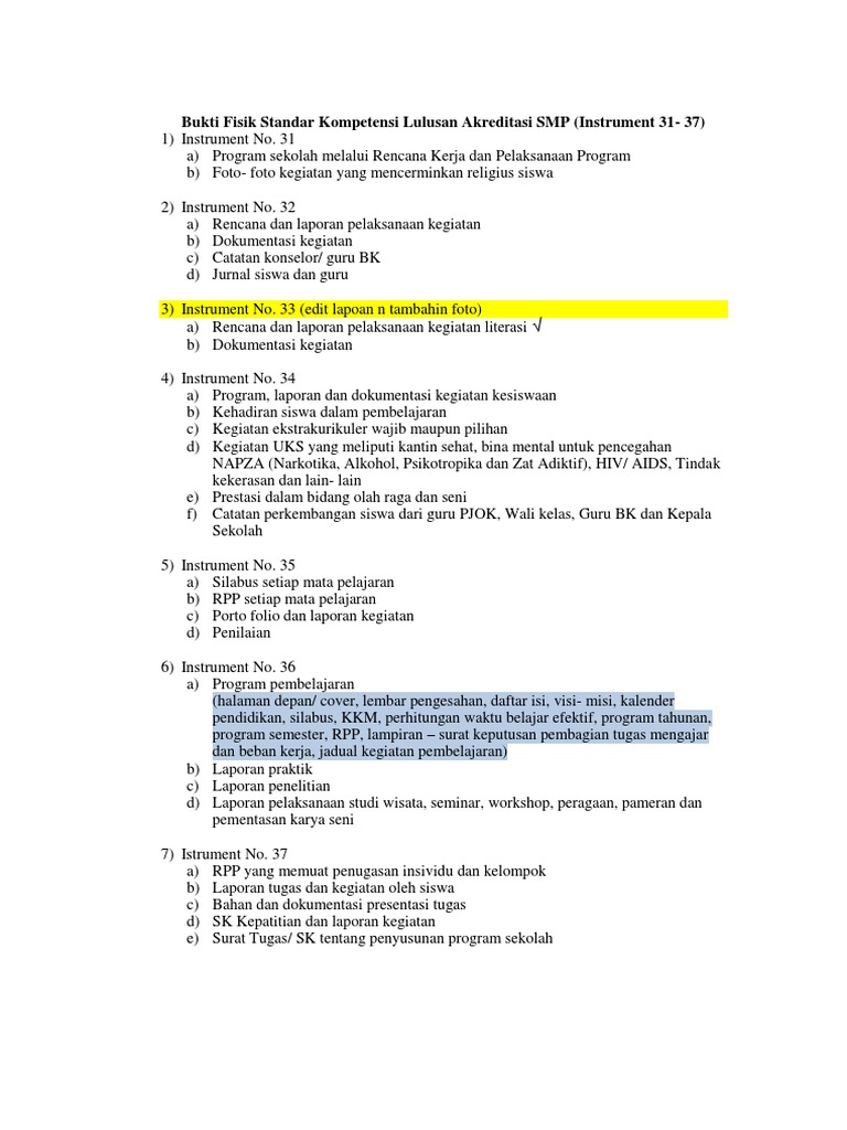
Contoh bukti fisik akreditasi standar kompetensi lulusan smp 2017. Instrumen 32 38 lengkap dengan penjelasannya delapan komponen standar nasional pendidikan yang disusun oleh badan nasional standar pendidikan bnsp. Berdasarkan 8 standar nasional pendidikan maka disini saya sediakan lengkap untuk bukti fisik standar isi standar proses standar pendidik dan. Bukti fisik akreditasi smpmts 8 standar ini merupakan perangkat administrasi yang kami kumpulkan untuk kebutuhan kegiatan visitasi atau kunjungan asessor ke sekolah untuk mengecek kesesuaian antara instrumen yang diisi dengan realitas disekolah. Segera download bukti fisik akreditasi smp download dan sudah pasti juga anda bisa mendapatka. Bukti fisik skl standar kompetensi lulusan instrumen no31 37 akreditasi smpmts ini merupakan kumpulan dokumen yang diperlukan oleh sekolah untuk keperluan bukti fisik akreditasi jenjang smpmts khususnya dalam memenuhi standar kompetensi lulusan skl. Bukti fisik standar kompetensi lulusan akreditasi smp 2018 instrumen no31 37 ini merupakan kumpulan dokumenperangkat yang diperlukan dalam kegiatan visitasi akreditasi sekolah.
Bukti fisik skl akreditasi smp mts 2017 standar kompetensi lulusan instrumen no31 37 yang mungkin anda cari saat inimaka tepat sekali mengunjungi blog kami karena dalam kali ini admin akan memudahkan anda semua dalam mencari tentang bukti fisik akreditasi smp download dan sudah pasti juga anda bisa mendapatkan file instrumen akreditasi smp 2017 pdf secara lengkap untuk bahan akreditas yang. Bukti fisik akreditasi smp mts skl standar kompetensi lulusan instrumen no31 37 ini merupakan perangkat terbaru yang akan saya bagikan dalam kesempatan kali ini khususnya untuk memnuhi kebutuhan pelaksanaan akreditasi sekolah. File ini akan dibutuhkan khususnya dalam proses visitasi oleh asesor untuk menijau bukti fisik akreditasi smp download dan dan bagi yang. Dalam kesempatan kali ini saya akan share kepada anda berkaitan dengan bukti fisik standar kompetensi lulusan skl akreditasi smp yang berjumlah 7 dari 124 instrumen dalam standar lainnya. Berdasarkan 8 standar nasional pendidikan maka disini saya sediakan lengkap untuk contoh bukti fisik standar isi standar proses standar. Bukti fisik akreditasi 2018 sdmi standar kompetensi lulusan.
Instrumen akreditasi smp 2017 yang mungkin anda cari saat inimaka tepat sekali mengunjungi blog kami karena dalam kali ini admin akan memudahkan anda semua dalam mencari tentang perangkat akreditasi smp 2017 dan sudah pasti juga anda bisa mendapatkan file perangkat akreditasi smpmts 2017 secara lengkap untuk bahan akreditas yang dipelukan sekarang ini. Berikut ini adalah link download bukti fisik akreditasi 8 standar lengkap untuk jenjang smpmts terbaru. Dalam blog ini saya share informasi informasi penting yang berkaitan dengan akreditasi paudtk sdmi smpmts sma. Kritik dan saran sangat saya harapkan demi kemajuan blog ini dimasa yang akan datang. Diharapkan dengan bukti fisik akreditasi sma standar kompetensi lulusan instrumen no1 9 2017 ini dapat membantu anda dalam mempersiapakan akreditasi sekolah atau madrasah yang anda kelola. Bukti fisik akreditasi smp 2017 ini merupakan administrasi perangkat dokumen akreditasi yang harus disediakan dalam kegiatan visitasi atau kunjungan asessor ke sekolah untuk mengecek kesesuaian antara instrumen yang diisi dengan realitas disekolah.
Dak hanya bukti fisik skl smp 2017 saja yang nantinya kami juga akan.













